1  はじめに

地球近傍の宇宙空間には高温で希薄なプラズマが存在する.宇宙空間プラズマの多くが

となっている.大雑把に言えばプラズマ \approx 電磁場と相互作用する流体である.
歴史的には太陽風と地球磁気圏の相互作用の理解から発展したが,現在ではより一般に宇宙におけるプラズマ(磁場)の果たす役割の重要性が認識されるようになっている.

1.1 プラズマの例

  • 地球近傍
    • 太陽・太陽風(惑星間空間)
    • 地球・惑星の磁気圏および電離圏
  • 天体プラズマ
    • 恒星・恒星風
    • 星間物質や銀河間物質
    • 原始惑星系円盤
    • 超新星残骸
    • 中性子星・ブラックホール近傍
  • 実験室プラズマ(\approx 核融合プラズマ)
    • 磁場閉じ込めプラズマ
    • レーザープラズマ

対象によってパラメータは大きく異なり,例えば電離圏や原始惑星系円盤は弱電離プラズマ,高エネルギー天体近傍では相対論的プラズマになっているが,そのダイナミクスはプラズマ物理の考え方で理解できる.

1.2 Debye遮蔽

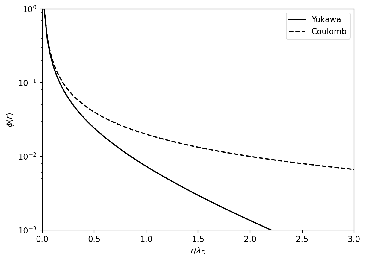
プラズマ中にテスト電荷Q (>0)を置くと,この電荷が作る静電ポテンシャルを打ち消すようにプラズマ中の電子が応答し,静電ポテンシャルはYukawa型のポテンシャル \phi (r) = \frac{1}{4\pi\epsilon_0} \frac{Q}{r} \exp \left( - \frac{r}{\lambda_D} \right) \qquad(1.1) となる.ここで \frac{1}{\lambda_D^2} \equiv \frac{n_0 e^2}{\epsilon_0 k_B T} で定義される \lambda_D をDebye長と呼ぶ.このポテンシャルでは遠方 r \gg \lambda_D ではCoulombポテンシャルよりも急速に減衰する( 図 1.1 参照).これをDebye遮蔽と呼ぶ.

図 1.1: CoulombポテンシャルとYukawa型ポテンシャルの比較

またDebye長と電子の熱運動に対応する速度(熱速度)v_{\rm th} = \sqrt{k_B T/m_e}を用いて定義される時間スケールは \frac{1}{T} = \frac{v_{\rm th}}{\lambda_{D}} = \sqrt{\frac{n_0 e^2}{\epsilon_0 m_e}} \equiv \omega_{pe} と書ける.ここで\omega_{pe}はプラズマ周波数と呼ばれる.これはテスト電荷Qの遮蔽が\sim \omega_{pe}^{-1}程度の時間で起こることを意味する.すなわち,プラズマは\omega_{pe}^{-1}よりも長い時間スケールでは電気的に中性とみなすことができる.このため,多くの場合においてプラズマは準中性状態にある.

Debye遮蔽はDebye球(半径がDebye長の球)中の粒子数 \Lambda \equiv n \lambda_D^3 が十分大きいときにのみ成り立つ.また \Lambda^{2/3} \approx \frac{\text{熱エネルギー}}{\text{ポテンシャルエネルギー}} \qquad(1.2) であることが簡単に分かる.\Lambdaはプラズマパラメータと呼ばれる量で,宇宙空間プラズマではほとんど場合において\Lambda \gg 1が成り立つ.

演習問題 1.1 電子を1次元流体と考え,流体の運動方程式 n_e m_e \frac{d v_e}{d t} = -n_e e E - \frac{\partial}{\partial x} p_e において, p_e = n_e k_B TT = {\rm const}, dv_e/dt \approx 0 (定常かつ静止した状態)を仮定すると,電子密度はBoltzmann分布 n_e \approx n_0 \exp \left( \frac{e \phi}{k_B T_e} \right) に従う.ただし,\phi \rightarrow 0においてn \rightarrow n_0とする.このことを示せ.

演習問題 1.2 Poisson方程式 \nabla^2 \phi = - \frac{\rho}{\epsilon_0} = - \frac{1}{\epsilon_0} \left[ e \left( n_i - n_e \right) + Q \delta (r) \right] で電子密度としてBoltzmann分布を,イオン密度としてn_i \approx n_0を仮定する.このとき 式 1.1 がPoisson方程式の解を与えることを確かめよ.

演習問題 1.3 プラズマパラメータ \Lambda = n \lambda_D^3 の定義を用いて,式 1.2 を確かめよ.

演習問題 1.4 地球軌道における太陽風 (n \sim 5 {\rm \, cm^{-3}}, T \sim 10^5 {\rm \, K}) のパラメータを用いてDebye長,プラズマ周波数,およびプラズマパラメータの値を概算せよ.

1.3 プラズマの自己無撞着性

電磁場はMaxwell方程式 \begin{aligned} \frac{1}{\epsilon_0} \frac{\partial \bm{E}}{\partial t} &= \nabla \times \bm{B} - \mu_0 \bm{J} \\ \frac{\partial \bm{B}}{\partial t} &=-\nabla \times \bm{E} \\ \nabla \cdot \bm{E} &= \frac{1}{\epsilon_0} \varrho \\ \nabla \cdot \bm{B} &= 0 \end{aligned} に従って発展する.この電磁場に影響を受けたプラズマ中の荷電粒子が作る電荷と電流 \begin{aligned} \varrho(x) &= \sum_{i} q_i \delta (x_i - x) \\ \bm{J}(x) &= \sum_{i} q_i \bm{v}_i \delta (x_i - x) \end{aligned} がMaxwell方程式に影響を与える.これらの荷電粒子は以下の運動方程式に従う. \frac{d\bm{x}}{dt} = \bm{v}, \quad \frac{d\bm{v}}{dt} = \frac{q}{m} \left( \bm{E} + \bm{v} \times \bm{B} \right)

真空中のMaxwell方程式は与えられた(\varrho, \bm{J})のもとで線形であり,また荷電粒子の運動方程式も与えられた(\bm{E}, \bm{B})のもとで線形である. しかし,電荷・電流を介した電磁場と荷電粒子のフィードバックまで考えると極度に非線形なシステムとなる.

1.4 磁気流体力学

プラズマの巨視的なダイナミクスを自己無撞着に記述する方程式系として,磁気流体力学(MHD; Magnetohydrodynamics)方程式がよく用いられる. これはこの講義の本題ではないが概要を復習しておこう.

基礎方程式

MHDは大雑把には流体力学方程式にローレンツ力を加えたものと考えればよく,例えば断熱の状態方程式を仮定した場合には以下のように書ける. \begin{aligned} & \frac{\partial \rho}{\partial t} + \nabla \cdot \left( \rho \bm{v} \right) = 0, \\ & \rho \frac{d \bm{v}}{dt} = - \nabla p + \cancel{\varrho \bm{E}} + \bm{J} \times \bm{B}, \\ & \frac{d}{dt} \left( \frac{p}{\rho^{\gamma}} \right) = 0, \end{aligned} ただし,プラズマが準中性状態にあることから,電気力\varrho \bm{E}の項は無視できる. また,低周波近似では変位電流\epsilon_0 \partial \bm{E}/\partial tを無視して Ampereの法則は \nabla \times \bm{B} = \mu_0 \bm{J} と書ける. また,磁場の発展方程式はFaradayの法則 \frac{\partial \bm{B}}{\partial t} = - \nabla \times \bm{E} で与えられ.通常宇宙のプラズマは電気伝導性が非常に良いため,Ohmの法則を考えると流体静止系の電場\bm{E}'が無視できる. 観測者系では誘導電場-\bm{v} \times \bm{B}が現れることを考慮すると, \bm{E}' = \bm{E} + \bm{v} \times \bm{B} = 0 と書ける.

これらをまとめると,MHD方程式は以下のように書ける. \begin{aligned} & \frac{\partial \rho}{\partial t} + \nabla \cdot \left( \rho \bm{v} \right) = 0, \\ & \rho \frac{d \bm{v}}{dt} = - \nabla p + \frac{1}{\mu_0} (\nabla \times \bm{B}) \times \bm{B}, \\ & \frac{d}{dt} \left( \frac{p}{\rho^{\gamma}} \right) = 0, \\ & \frac{\partial \bm{B}}{\partial t} - \nabla \times \left( \bm{v} \times \bm{B} \right) = 0. \end{aligned}

MHDの特徴として以下のような点が挙げられる.

  • 磁場の影響によって異方性が現れる.
  • 磁場とプラズマは「凍結」している.
  • 通常のガス圧勾配力に加えて,ローレンツ力によって磁気圧勾配力や磁気張力が働く.
  • ガス圧と磁気圧の比で定義されるプラズマベータ \beta = P/(B^2/2\mu_0) が重要なパラメータとなる.

演習問題 1.5 ローレンツ力が \bm{J} \times \bm{B} = \frac{\left( \bm{B} \cdot \nabla \right) \bm{B}}{\mu_0} - \nabla \left( \frac{B^2}{2 \mu_0} \right) と書き表されることを示せ.ここで第1項,第2項の磁場に垂直な成分がそれぞれ磁気張力と磁気圧力勾配力を表す.

磁気流体波動

通常の(中性)流体力学方程式から得られる波動は音波のみであるのに対して,磁気流体力学では以下の3種類の波動が存在する.

  • シアAlfven波
    位相速度: v_p^2 = V_{\mathrm A}^2 \cos^2 \theta
    性質: 非圧縮(磁気張力が復元力)
  • 速い磁気音波・遅い磁気音波
    位相速度: v_p^2 = (V_{\mathrm A}^2 + V_{\mathrm S}^2)/2 \pm \left[ ((V_{\mathrm A}^2 - V_{\mathrm S}^2)/2)^2 + V_{\mathrm A}^2 V_{\mathrm S}^2 \sin^2 \theta \right]^{1/2}
    (ただし,+が速い磁気音波,-が遅い磁気音波)
    性質: 速い磁気音波はガス圧力と磁気圧力の揺らぎが同位相,遅い磁気音波は逆位相で振動する.

ここでV_{\mathrm A} = B/\sqrt{\mu_0 \rho}はAlfven速度,V_{\mathrm S} = \sqrt{\gamma p/\rho}は音速,\thetaは磁場と波動の伝播方向のなす角である.
このように磁気流体波動は磁場の方向に対する伝播方向によって異なる位相速度を持っており,これはプラズマが異方性を持った媒質であることを意味する.
磁気流体波動の異方性を表すために 図 1.2図 1.3 のようなFreidrichsダイアグラムが用いられることがある. これはそれぞれのモードについて,磁場に対する伝播角と位相速度の関係を表したものである.

図 1.2: \beta = 0.8
図 1.3: \beta = 1.2

演習問題 1.6 プラズマベータ \beta \beta = \frac{2}{\gamma} \frac{V_{\mathrm S}^2}{V_{\mathrm A}^2} と書けることを示せ.